Las bases científicas de la energía eólica

https://blogs.publico.es/ignacio-martil/2018/07/06/las-bases-cientificas-de-la-energia-eolica/
En dos artículos recientes he descrito la dinámica de vientos globales y locales que aprovechan las turbinas eólicas y los principios de funcionamiento de los generadores de eje horizontal. En este describiré los procesos mediante los que un generador eólico transforma la energía cinética del viento en energía de rotación y a través de la ley de Faraday, en energía eléctrica. Así mismo, detallaré las limitaciones en ese proceso de transformación

1. Proceso de conversión de la energía eólica en energía eléctrica

El proceso de conversión de la energía cinética del viento en energía eléctrica debe sufrir tres procesos de transformación: aerodinámica, mecánica y eléctrica. En cada paso, una parte de la energía se pierde y como consecuencia, la energía eléctrica que puede desarrollar un aerogenerador es menor que la energía del viento que incide sobre él. Esto no es específico de la energía eólica, ya que todos los procedimientos de obtención de energía presentan pérdidas.

1.1 Eficiencia aerodinámica

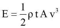
Mediante un cálculo de física elemental, se puede demostrar que una determinada masa de aire, con una densidad “r”, moviéndose a una velocidad “v”, transfiere en un tiempo “t” una cantidad de energía mecánica a las aspas de un rotor que barren un área “A”, viene dada por la siguiente expresión [1]:

Esa energía cinética de traslación se transforma por el rotor en energía cinética de rotación. Como se ve en la expresión anterior, la energía que suministra un aerogenerador es proporcional al área que abarca la rotación de sus aspas, razón por la que los aerogeneradores tienden a incrementar la longitud de estas.

Albert Betz (1885-1968) demostró que de esa energía, sólo se puede transformar en energía eléctrica una fracción dada por 16/27 de la energía del viento incidente [1], es decir el 59,3 %, lo que se conoce como límite de Betz. Esto se debe al hecho, intuitivo por otra parte, de que el aire que entra al rotor lo hace con una velocidad mayor que con la que sale del mismo, dado que el rotor de la turbina eólica se encarga de frenar el viento al extraer su energía cinética y convertirla en energía de rotación (sólo si saliera del rotor a velocidad cero, se transformaría el 100% de la energía del viento en energía de rotación, cosa que es obviamente imposible). La figura muestra esa diferencia de velocidades a la entrada y a la salida del rotor:

Velocidades de entrada (V1) y de salida (V2) del aire al rotor de una turbina. Puesto que la velocidad de salida es inferior a la de entrada, la conservación de la masa de aire entrante y saliente obliga a que el área que ocupa el flujo de aire saliente sea mayor que el entrante. Fuente: Danish Wind Industrie Association

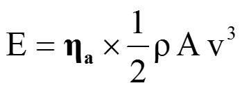
La expresión anterior se suele escribir habitualmente en términos de potencia, sin más que dividir por el tiempo. De esta forma, la potencia desarrollada por una turbina eólica se expresa así:

Donde ha es la eficiencia aerodinámica y se define como la relación entre la potencia aprovechada y la disponible; su límite superior es, como ya se ha indicado, 0.59 -dicho dato se obtiene cuando la relación entre las velocidades de salida y entrada al rotor es v2 = (1/3) v1, y es el valor teórico máximo alcanzable por cualquier turbina eólica-. En aerogeneradores reales, este valor es inferior, debido a diversos factores que el cálculo de Betz no contempla (la resistencia aerodinámica de las palas del rotor, la naturaleza incompresible del aire, etc.). Un valor más realista para esta eficiencia se sitúa en el entorno del 45%, es decir, ha = 0.45 (siempre que la turbina este trabajando con un valor de la velocidad del viento cercano al óptimo, en otro caso sería todavía menor) [1].

La eficiencia aerodinámica es el principal factor que limita la capacidad de transformar la energía del viento en energía eléctrica, pero hay otros. En efecto, en la práctica, el máximo de energía que un generador eólico puede transformar en energía eléctrica es aún menor debido a los rozamientos mecánicos de los elementos de la góndola y al rendimiento del generador eléctrico y la electrónica asociada, según veremos a continuación.

1.2 Eficiencia mecánica

El eje de la turbina impulsa una caja de cambios que cambia la velocidad de rotación provocada por el viento a una velocidad que se adapte mejor al generador de energía eléctrica al que está conectado. Este mecanismo es similar a la caja de cambios de un automóvil y en su giro, los diversos engranajes del mecanismo presentan fricción, por lo que una pequeña fracción de energía trasmitida por el rotor del aerogenerador se pierde aquí. Además hay grandes cojinetes que sostienen el eje que también introducen fricción. La eficiencia de todos estos componentes mecánicos se denomina eficiencia mecánica. Típicamente, en los procesos de fricción se pierda del orden del 5% de la energía incidente en la caja de cambios, es decir, que la eficiencia mecánica del aerogenerador es hm = 0.95.

1.3 Eficiencia eléctrica

A la salida de la caja de cambios, el eje de alta velocidad se acopla al rotor de un alternador, que convierte la energía mecánica de rotación en energía eléctrica, que puede ser continua o alterna, dependiendo de si es un generador de corriente continua o un alternador. En este último caso, ocurre que por la variabilidad inherente al viento, la velocidad de giro, lógicamente, no es estable, de manera que la frecuencia de la corriente generada no coincide con los 50 Hz exactos de la red eléctrica. Por lo tanto, es necesario acoplar complejos circuitos electrónicos de potencia para convertir la frecuencia de la energía producida al valor exacto de 50 Hz, necesaria para poder volcarla en la red eléctrica. Tanto el generador como la electrónica de potencia también tienen pérdidas. El rendimiento combinado de ambos sistemas, generador y electrónica de potencia se denomina eficiencia eléctrica. Las pérdidas en el sistema eléctrico pueden suponer otro 5% de la energía incidente, con lo que la eficiencia eléctrica será, he = 0.95.

A la eficiencia global de la turbina, que combina las tres eficiencias descritas (aerodinámica, mecánica y eléctrica) se la denomina Coeficiente de Potencia, CP y se obtiene como producto de las tres eficiencias descritas:

La siguiente figura ilustra esquemáticamente los diversos procesos que limitan la eficiencia de la turbina:

Los diferentes factores de pérdidas desde que el aire entra a las aspas de una turbina, hasta la salida de energía eléctrica producida. Fuente de la figura: adaptado de Wind turbine power coefficient

A continuación, mostraré un ejemplo numérico para ilustrar cuantitativamente los conceptos descritos en este apartado. Imaginemos un generador que posee los valores de eficiencia de los tres procesos de transformación energética descritos en los párrafos precedentes, es decir ha = 0.45, hm = 0.95 y he = 0.95. La eficiencia total del generador, medida por su Coeficiente de Potencia CP,  será entonces:

Es decir, en condiciones de funcionamiento óptimas, el generador transformará el 40% de la energía del viento incidente en energía eléctrica. Quiero destacar que los valores asignados a cada una de las tres eficiencias no corresponden a ningún generador en particular, son valores válidos para máquinas que funcionan en condiciones cercanas a las óptimas, con todos sus componentes adecuadamente diseñados y construidos.

La figura ilustra los valores máximos del Coeficiente de Potencia para diversos tipos de turbinas eólicas:

Coeficiente de Potencia, CP, de diversos tipos de generadores en función de la relación TSR (“tip-to-speed ratio”; relación entre la velocidad de rotación del extremo de las aspas del aerogenerador y la velocidad del viento). En la figura, se ha supuesto que las eficiencias mecánica y eléctrica son del 100%. Resaltado en rojo, la eficiencia de los generadores tripala de eje horizontal, los más universales en la actualidad.

Como se aprecia en la figura, el valor máximo de eficiencia de conversión para los generadores de tres aspas es del orden del 45% y se alcanza para un valor de la velocidad del viento, en el entorno de 40-50 km/h. Como acabamos de ver en el párrafo anterior, si se tienen en cuenta las pérdidas mecánicas y eléctricas, este valor es todavía más reducido.

2. Otras consideraciones

Una pregunta que siempre planea sobre cualquier fuente de energía y en especial sobre las renovables (mantra heredado de la fotovoltaica) es ¿cuánto tiempo necesita un aerogenerador para “devolver” la energía que ha hecho falta para fabricarlo?

La comparación entre la energía utilizada durante la fabricación y la energía producida por una estación eléctrica se conoce como “tiempo de amortización energética” o “balance energético”. La medida se puede expresar como el tiempo de “devolución”, es decir, el tiempo necesario para generar la cantidad de energía utilizada para fabricar la turbina o la estación eléctrica. Los parques eólicos necesitan una media de entre seis y ocho meses de funcionamiento para “devolver” la energía utilizada para fabricarlos e instalarlos.

En próximos artículos haré un breve recorrido por la historia de la energía eólica y  describiré la situación de esta fuente energética en la actualidad, así como sus perspectivas de futuro.
___________________
[1] La energía cinética de traslación que transporta un cilindro de aire, que se mueve a velocidad “v”, durante un tiempo “t” y cuya base es el área que barren las aspas del rotor es exactamente la expresión mostrada.

[1] La obtención del factor 16/27 requiere efectuar unos cálculos que quedan fuera de los objetivos de este artículo. El lector interesado en esta cuestión, así como en profundizar en los fundamentos teóricos de la energía eólica, puede consultar el libro “Fundamental and Advanced Topics in Wind Power” (Rupp Carriveau, Editor, IntechOpen, 2011; DOI: 10.5772/731). Es un texto de acceso abierto, por lo que se pueden descargar libremente todos los capítulos.

Publicado por Ignacio Mártil de la Plaza

Soy Doctor en Física (1982) y Catedrático de Universidad (2007) en el área de Electrónica. Realizo mi actividad docente e investigadora en la Universidad Complutense de Madrid, de carácter marcadamente experimental, en el campo de la física de los semiconductores. Soy especialista en propiedades eléctricas y ópticas de estos materiales, así como en dispositivos electrónicos y opto-electrónicos basados en ellos, siendo mi principal objetivo en la actualidad el estudio de conceptos avanzados en células solares. Mi trabajo científico se concreta en los siguientes indicadores principales: soy co-autor de más de 160 artículos científicos publicados en revistas de alto impacto de ámbito internacional; he presentado más de 100 Ponencias en congresos internacionales; he participado y participo, como Investigador Principal o como miembro del equipo investigador, en 25 proyectos de investigación financiados con fondos públicos en concurrencia competitiva; he dirigido 7 Tesis Doctorales; finalmente, soy evaluador de publicaciones (“referee”) de 15 revistas científicas internacionales. Fuera del ámbito académico, tengo un blog personal de divulgación científica en el diario Público, (“Un poco de ciencia, por favor”); soy colaborador de El País, OpenMind, El Confidencial, El Periódico de la Energía, etc. En las Redes Sociales, tengo perfiles en Instagram, Twitter, YouTube y Facebook, en este último caso, con más de 775.000 seguidores.

5 comentarios sobre “Las bases científicas de la energía eólica

Deja un comentario